Вид теплообмена теплопроводность
Тема: Теория производства теплообменников
В данном материале мы будет рассматривать частный случай теплообмена: теплопроводность. Это перенос тепловой силы между теплоносителем и твердым телом, сопровождаемый их движением относительно друг друга.
Наше предприятие производит теплообменные аппараты, поэтому мы обязательно применяем такие расчеты для увеличения эффективности наших теплообменников.
Конвективный теплообмен закон ньютона
Закон Ньютона-Рихмана является основополагающим в теории теплоотдачи. Согласно ему, передаваемый в среде конвективного теплового обмена поток теплоты Q пропорционален разности теплот Dt между омывающей окружением и поверхностью и самой площадью отдающей тепло поверхности F:
Q=αxFx(tc-tж)
Расчет конвективного теплообмена
Трудности расчета заключены в определении коэффициента отдачи тепла, который зависит от множества факторов омывающей поверхности жидкости: от её вязкости, температуры, теплопроводности и теплоёмкости, плотности, от природы зарождения хода среды, формы поверхности, скорости движения и размеров поверхности.
Выделяют заставленное и свободное движение. Последние происходит из-за разных плотностей нагретых и охлажденных частиц жидкости, естественная конвекция. Для вынужденного движения возникает конвекция под воздействием внешних возбудителей, таких как ветер, насосы или вентиляторы. Можно посмотреть устройство одц (маслоохладитель с вентилятором). На это указывает и уравнение теплового баланса, говорящее, что количество полученных и отданных теплот равно нулю, а внутреннюю энергию можно изменить, передав системе необходимое количество теплоты либо путем совершения работы.
Жидкость может двигаться ламинарно (спокойно и не перемешиваясь) и турбулентно (постоянное смешивание всех пластов жидкости) - на этом основано эффективное применение профильно витой трубки -ПВТ в маслоохладителях. Перевод ламинарного строя в турбулентный обусловливаться числом Рейнольдса: Re=wxl/v
Здесь w – скорость хода жидкости; ν — константа кинематической тягучести; l — свойственная величина канала или омываемой стенки.
В любом режиме движения жидкости, примыкающие к крепкой поверхности, вследствие сил густоты образуют тонкий слой пограничный слой, где скорость модернизируется от нуля до стремительности невозмущенного потока далеко от тела.
Скорость переноса теплоты зависит от нрава хода жидкости в пограничном пласте.
Уравнение конвективного теплообмена
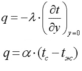
На базисе процессов переноса теплоты получив уравнение конвективного теплообмена, обрисовывающее процессы отдачи тепла на рубежах тела. Так как площадка твердого тела имеет слой недвижимой жидкости, для нее можно употребить уравнение Фурье. Условившись, что ось ординат будет размещена под углом в 90° к поверхности, запишем:

Решая систему уравнений получим:

Это уравнение получило название: дифференциальное уравнение теплообмена.
Дифференциальные уравнения конвективного теплообмена
Когда в уравнение теплообмена подставить модернизацию теплоты, определенную течением жидкости:

где wx, wy и wz являются проекцией скоростей жидкости на оси координат, получится:

На этом я сегодня заканчиваю, а вы можете ознакомиться с модернизированными теплообменниками нашего производства.
Кроме теплообменников наш завод производит мотор редуктор малой мощности, а так же электродвигатель с водяным охлаждением. Так же можем сделать ремонт кожухотрубных теплообменников.
Материал по рубрике
- Теория теплообмена
Всем солнца, доброго настроения и покупайте теплообменники на Уральском заводе МеталлЭкспортПром!
{jcomments on}
|